Plaats van herkomst: | China Guangdong Zhongshan |
Merknaam: | BLK 7985 China |
Modelnummer: | BLK 7985 |
Min. bestelaantal: | 100kg |
---|---|
Verpakking Details: | 10kg/bag het aluminium lamineerde plastic bag+carton |
Levertijd: | 10 werkdagen |
Betalingscondities: | T/T, L/C, D/A, D/P, Western Union |
Levering vermogen: | 300 ton |
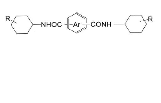
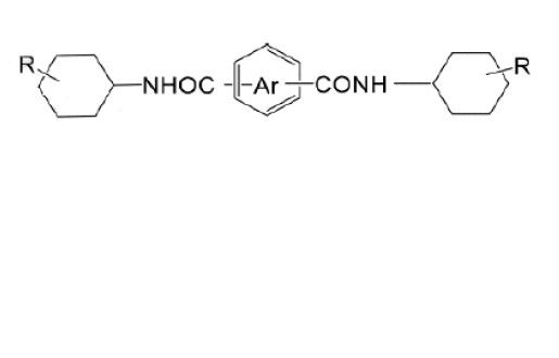
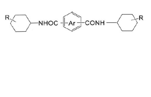
Chemstructuur: | N, n'-dicyclohexyl-2,6-Naftaleen dicarboxamide | CAS: | 153250-52-3 |
---|---|---|---|
Toepassing: | Pp-bezitswijziging | Chemische naam: | (nucleating agent bèta) ß |
ModelName: | BLK 7985 | Compund: | Aryl amidesamenstelling |
Zuiverheid: | 99% | Synoniemen: | Tmb-5 |
Markeren: | Tmb-5 pp die Agent verduidelijken,153250-52-3 pp die Agent verduidelijken,99% zuiverheid pp die Agent verduidelijken |
• De Verduidelijkende agent van BLK 7985 voor pp
Hoogste verduidelijkende de agentenfabrikant van China.
Vrije steekproef door Fedex UPS voor proef.
Snel verschepend van China.
Eigenschappen
• Nucleating agent blk-7985 (tmb-5) is een representatieve verscheidenheid van amide-type polypropyleen β-kristal nucleating agent. Het kan in de harssmelting bij de verwerkingstemperatuur van polypropyleen (pp) oplossen, en met de daling van smeltingstemperatuur opnieuw kristalliseren om staaf-vormige kristallen met grotere beeldverhouding te vormen, waarbij tot nucleation van pp met β-kristallijne kristallen wordt bewogen om de de schokweerstand, temperatuur van de hitteafbuiging en microporosity van producten te verbeteren. In tegenstelling, hebben blk-7985 (tmb-5) een stabiele structuur en de β-kristallijne inhoud van pp wordt niet beïnvloed door herhaalde smeltingsuitdrijving.
Toepassing
• Wijd gebruikt in pijpen pp-r, injectie het vormen hebben de producten en het droge proces van de het diafragmavoorbereiding van de lithiumbatterij, en het goed synergetisch effect met calciumcarbonaat. Bovendien hebben blk-7985 nucleation bevorderend effect op polybuteen-1 (Pb-1).
Fysieke en chemische eigenschappen
• Daadwerkelijke additon hangt van polymeer en eigenschappen van afwerkingsproducten af.
• Boven eigenschappen worden geverifieerd door voldoende labotesten, terwijl het niet de waarborg is. In het gebruik van het proces van het specifieke bedrag dat op de formulering moet worden gebaseerd van van materiaalprocessen en andere uitvoerige overweging.
Pakket & levering
• 10kg/bag het aluminium lamineerde plastic vochtbestendige zak, + document karton of of customerized
• 100-1000KGS 5 dagen, 1000-10,000 KG 15 dagen enz.
Behandeling en opslag
• Opgeslagen in droog en geventileerd binnen provisiekamer, verhinder direct zonlicht, lichtjes stapel en neergezet.
• De beschermende kleding zou moeten worden gedragen wanneer de exploitanten, behandelen of aan, dit product blootgesteld. Zie MSDS voor verdere gedetailleerde raad.
Contactpersoon: Mr. SUPING. JIANG
Tel.: +86 135 2473 2599
Het landbouwpesticide van CAS 62-73-7 DDVP, DDVP 1000 de EG voor Gewasbescherming
Het Lage Residu van het lage Giftigheids100% de EG CAS 62-73-7 DDVP Insecticide
Snel handelend Dichlorvos van CAS 62-73-7 50% Insecticide voor Katoen Aphids
Gewasbescherming 77,5% Dichlorvos van de EG Pesticide CAS 62-73-7
Nevel van Ongediertebestrijdings de Agrochemische CAS 62-73-7 DDVP voor Muggenvliegen
Het Insecticide van CAS 62-73-7 95% DDVP, het Insecticide van de Fruitboom
Systemisch C4H7Cl2O4P Dichlorvos van het huishoudengebruik Organisch Insecticide
Sterk Effect Contact die 10ppm-het Chemische product van de Arsenicumddvp Nevel doden
Landbouw 200-547-7 99% Dichlorvos Pesticidevloeistof
Dichlorvos van maagvergiftigingscas 62-73-7 Nevel voor Volksgezondheid
Dichlorvos van de insectcontrole Insecticidenevel voor de Gebieden van de Voedselopslag